基本信息:
中文名称 碱性红 2
中文别名 3,7-二氨基-2,8-二甲基-5-苯基酚嗪翁氯化物;藏红T;番红花红T;番红 O;臧红T;碱性桃红/藏红T/番红O;碱性红2;藏红 T;藏红 O;沙黄;碱性藏红花;沙黄:番红O;蓝光藏红花;盐基桃红;
英文名称 3,7-dimethyl-10-phenylphenazin-10-ium-2,8-diamine,chloride
英文别名 Safranine-O chloride;Safranine O;3,7-Diamino-2,8-dimethyl-5-phenylphenazin-5-ium chloride;Safranin T;Gossypimine;Hidaco safranine;Safranin Y or A;Safranine O,certified;Safranine T;Tolusafranine;BASIC RED 2;Safranine;Safranine O,high purity biological stain;Basic Red 2,Cotton Red,Gossypimine;Safranin O;Safranin;
CAS号 477-73-6
合成路线:
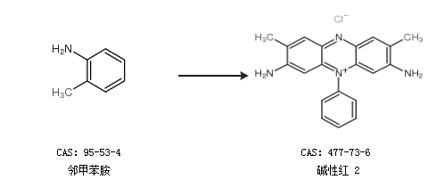
1.通过邻甲苯胺合成碱性红 2

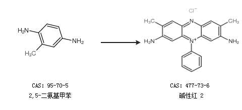
2.通过2,5-二氨基甲苯合成碱性红 2

中华试剂网提醒:合成路线仅供参考