基本信息:
中文名称 3-(2-噻吩甲酰基)丙酸
中文别名 4-羰基-4-(2-噻吩基)丁酸;4-氧-4-(2-噻吩)丁酸;
英文名称 4-oxo-4-(2-thienyl)butyric acid
英文别名 3-(2-Thenoyl)propionic Acid;4-Oxo-4-(2-thienyl)butyric acid;3-(2-THENOYL)-PROPIONIC ACID;4-Oxo-4-(2-thienyl)butanoic acid;4-Oxo-4-(thiophen-2-yl)butanoic acid;4-oxo-4-thiophen-2-ylbutanoic acid;
CAS号 4653-08-1
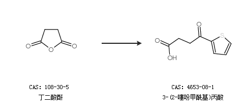
合成路线:
1.通过丁二酸酐合成3-(2-噻吩甲酰基)丙酸,收率约89%;

2.通过丁二酸酐合成3-(2-噻吩甲酰基)丙酸

合成路线仅供参考