基本信息:
中文名称 D-三乙酰半乳糖烯
中文别名 3,4,6-3-O-乙酰-D-半乳醛;3,4,6-三乙酰-D-半乳糖烯;3,4,6-三-O-乙酰基-D-半乳醛;三乙酰半乳糖烯;3,4,6-O-三乙酰基-D-半乳糖烯;3,4,6-O-三乙酰基-D-半乳糖烯;三乙酰半乳糖烯;三-O-乙酰-D-半乳糖烯;
英文名称 Tri-O-acetyl-D-galactal
英文别名 [(2R,3R,4R)-3,4-diacetyloxy-3,4-dihydro-2H-pyran-2-yl]methyl acetate;Tri-O-acetyl-D-galactal;1,5-Anhydro-2-deoxy-D-lyxo-hex-1-enitol 3,4,6-Tri-O-acetyl Ether;2,6-Anhydro-5-deoxy-D-arabino-hex-5-enitol triacetate hexenopyranose;(2R,3R,4R)-2-(Acetoxymethyl)-3,4-dihydro-2H-pyran-3,4-diyl diacetate;1,2-Dideoxy-3,4,6-tri-O-acetyl-D-lyxo-1-hexenopyranose;
CAS号 4098-06-0
合成路线:
1.通过2,3,4,6-四乙酰氧基-alpha-D-吡喃糖溴化物合成D-三乙酰半乳糖烯,收率约98%;

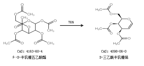
2.通过β-D-半乳糖五乙酸酯合成D-三乙酰半乳糖烯,收率约76%;

中华试剂网提醒:合成路线仅供参考