基本信息:
中文名称 三(2-氨基乙基)胺
中文别名 N,N-二(2-氨乙基)-1,2-乙二胺;三(2-氨乙基)胺;
英文名称 tris(2-aminoethyl)amine
英文别名 2,2'',2''''-Nitrilotriethylamine;Tris(2-Aminoethyl)Amine;2,2'',2''''-Triaminotriethylamine;Tris(2-aMinoethyl)aMine;TRIS(2-AMINOETHYL)AMINE;
CAS号 4097-89-6
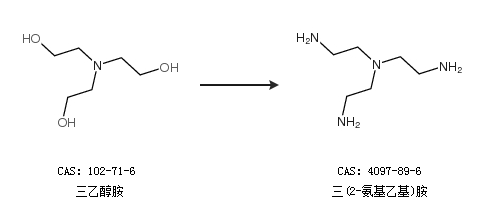
合成路线:
1.通过1,2-二氯乙烷合成三(2-氨基乙基)胺

2.通过三乙醇胺合成三(2-氨基乙基)胺

合成路线仅供参考