基本信息:
中文名称 (1S)-(-)-莰烷酰氯
中文别名 (+)-(1R,4S)-莰烷酰氯;(-)-莰烷酰氯;(1S)-3-氧代-4,7,7-三甲基-2-氧杂双环[2.2.1]庚烷-1-甲酰氯;(-)-(1S,4R)-坎烷酰氯;(-)-樟脑酸氯化物;(1S)-(-)-莰烷酸氯化物;
英文名称 (-)-Camphanic acid chloride
英文别名 (-)-Camphanic Chloride;(1S)-(-)-Camphanic chloride;
CAS号 39637-74-6
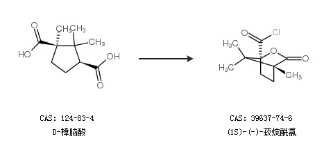
合成路线:
1.通过(1R)-(+)-莰烷酸合成(1S)-(-)-莰烷酰氯,收率约92%;

2.通过D-樟脑酸合成(1S)-(-)-莰烷酰氯

合成路线仅供参考