基本信息:
中文名称 (R)-(+)-1-(2-萘基)乙胺
中文别名 (R)-1-(2-萘基)乙胺;(R)-(+)-α-甲基-2-萘甲胺;(R)-(+)-1-(2-萘)乙胺;
英文名称 (R)-(+)-1-(2-Naphthyl)ethylamine
英文别名 (R)-1-(2-Naphthyl)ethylaMine;(R)-2-(1-Aminoethyl)naphthalene;(1R)-1-naphthalen-2-ylethanamine;(R)-1-(Naphthalen-2-yl)ethanamine;
CAS号 3906-16-9
合成路线:
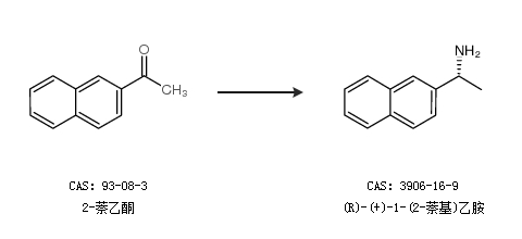
1.通过2-萘乙酮合成(R)-(+)-1-(2-萘基)乙胺

2.通过1-萘-2-乙胺合成(R)-(+)-1-(2-萘基)乙胺

中华试剂网提醒:合成路线仅供参考