基本信息:
中文名称 3-膦酰丙酸三乙脂
中文别名 3-二乙基膦酰丙酸乙酯;膦酰丙酸三乙脂;3-磷丙酸三乙酯;3-膦酰丙酸三乙酯;
英文名称 TRIETHYL 3-PHOSPHONOPROPIONATE
英文别名 3-Diethylphosphonopropionic Acid Ethyl Ester;Ethyl 3-(diethoxyphosphoryl)propanoate;Triethyl 3-phosphonopropionate;Ethyl 3-Diethylphosphonopropionate;3-Phosphonopropionic Acid Triethyl Ester;ethyl 3-diethoxyphosphorylpropanoate;
CAS号 3699-67-0
合成路线:
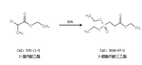
1.通过2-溴丙酸乙酯合成3-膦酰丙酸三乙脂,收率约93%;

2.通过亚磷酸二乙酯和丙烯酸乙酯合成3-膦酰丙酸三乙脂

合成路线仅供参考