基本信息:
中文名称 1,4-双(二氟甲基)苯
中文别名 Alpha,Alpha,Alpha'',Alpha''-四氟-对二甲苯;α,α,α'',α''-四氟-对二甲苯;
英文名称 1,4-Bis(difluoromethyl)benzene
英文别名 1,4-BIS(DIFLUOROMETHYL)BENZENE;p-Xylylene α,α,α'',α''-Tetrafluoride;α,α,α'',α''-Tetrafluoro-p-xylene;
CAS号 369-54-0
合成路线:
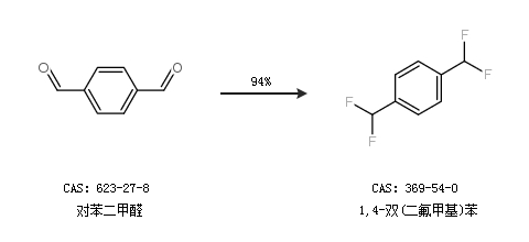
1.通过对苯二甲醛合成1,4-双(二氟甲基)苯,收率约94%;

2.通过对四氯苄合成1,4-双(二氟甲基)苯,收率约82%;

合成路线仅供参考