基本信息:
中文名称 2-甲氧基雌二醇
中文别名 2-甲氧基-β-雌二醇;盐酸拓扑替康;2-甲氧雌二醇;1,3,5(10)-雌甾三烯-2,3,17-三醇二甲醚;3,17Β-二羟基-2-甲氧基-1,3,5(10)-雌甾三烯;
英文名称 2-methoxy-17β-estradiol
英文别名 2-methoxy-17beta-estradiol;2-METHOXYESTRADIOL;2-Methoxyestradiol;2-Methoxy-β-estradiol;2-Methoxy 17β-Estradiol;
CAS号 362-07-2
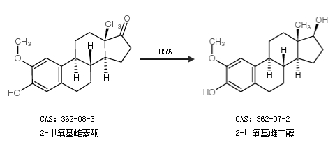
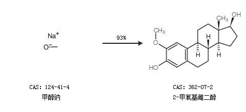
合成路线:
1.通过2-甲氧基雌素酮合成2-甲氧基雌二醇,收率约85%;

2.通过甲醇钠合成2-甲氧基雌二醇,收率约93%;

合成路线仅供参考