基本信息:
中文名称 甲地孕酮
中文别名 甲地孕酮;
英文名称 megestrol
英文别名 Megestrol;20-dione,17-hydroxy-6-methyl-pregna-6-diene-3;4,6-PREGNADIEN-6-METHYL-17-OL-3,20-DIONE;17-Hydroxy-6-methyl-pregna-4,6-dien-3,20-dion;17-hydroxy-6-methylpregna-4,6-diene-3,20-dione;
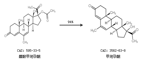
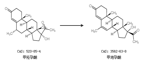
CAS号 3562-63-8
合成路线:
1.通过醋酸甲地孕酮合成甲地孕酮,收率约94%;

2.通过甲羟孕酮合成甲地孕酮

合成路线仅供参考