基本信息:
中文名称 异麦芽三糖
中文别名 α-D-葡糖基-[1→6]-α-D-葡糖基-[1→6]-D-葡萄糖;Α-D-葡萄糖基-[1→6]-Α-D-葡萄糖基-[1→6]-D-葡萄糖;
英文名称 isomaltotriose
英文别名 (3R,4S,5S,6R)-6-[[(2S,3R,4S,5S,6R)-3,4,5-trihydroxy-6-[[(2S,3R,4S,5S,6R)-3,4,5-trihydroxy-6-(hydroxymethyl)oxan-2-yl]oxymethyl]oxan-2-yl]oxymethyl]oxane-2,3,4,5-tetrol;Isomaltotriose;IsoMaltotriose;I0329;
CAS号 3371-50-4
合成路线:
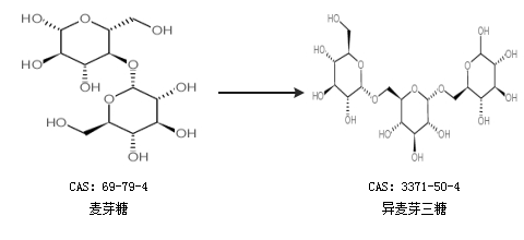
1.通过麦芽糖合成异麦芽三糖

2.通过麦芽糖合成异麦芽三糖

合成路线仅供参考