基本信息:
中文名称 2,5-呋喃二甲酸
中文别名 2,5-呋喃二羧酸;呋喃-2,5二羧酸;
英文名称 furan-2,5-dicarboxylic acid
英文别名 Dehydroschleimsaeure;2,5-furandicarboxylate;2,5-dicarboxyfuran;2,5-Furandicarboxylic acid;Dehydromucate;furan-2,5-dicarbonsaeure;Furan-2,5-dicarboxylic acid;2,5-Furandicarboxylic Acid;Dehydromucic acid;
CAS号 3238-40-2
合成路线:
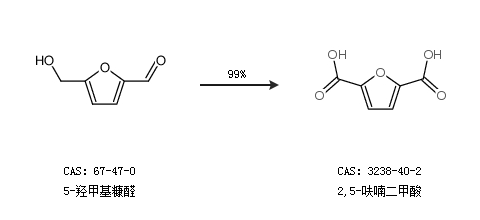
1.通过5-羟甲基糠醛合成2,5-呋喃二甲酸,收率约99%;

2.通过5-乙酰氧基甲基-2-呋喃醛合成2,5-呋喃二甲酸,收率约89%;

中华试剂网提醒:合成路线仅供参考