基本信息:
中文名称 1,4,7,10-四氮杂环十二烷
中文别名 轮环藤宁;1,4,7,10-四氮环十二烷;
英文名称 1,4,7,10-tetraazacyclododecane
英文别名 1,4,7,10-tetrazacyclododecane;1,4,7,12-tetraazacyclodedecane;1,4,7,10-Tetraazacyclododecane;1,4,7,10-Tetrazacyclododecane;Cyclen;
CAS号 294-90-6
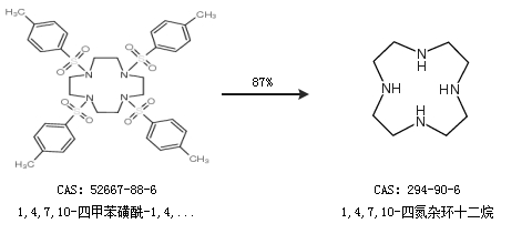
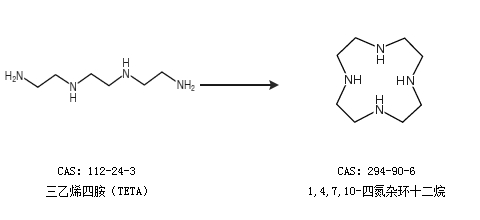
合成路线:
1.通过1,4,7,10-四甲苯磺酰-1,4,7,10-四氮杂环十二烷合成1,4,7,10-四氮杂环十二烷,收率约87%;

2.通过三乙烯四胺(TETA)合成1,4,7,10-四氮杂环十二烷

合成路线仅供参考