基本信息:
中文名称 2-(三甲硅基)乙醇
中文别名 (2-羟基乙基)三甲基硅烷;2-(三甲基硅基)乙醇;三甲基硅乙醇;2-(三甲硅基)乙醇;
英文名称 2-(Trimethylsilyl)ethanol
英文别名 (2-Hydroxyethyl)Trimethylsilane;2-Trimethylsilanyl-ethanol;2-TMS-ethanol;2-(TriMethylsilyl)ethanol;2-HYDROXYETHYLTRIMETHYLSILANE;trimethylsilyl ethanol;trimethsilylethanol;
CAS号 2916-68-9
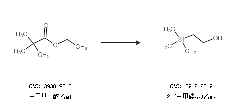
合成路线:
1.通过(三甲基硅基)乙酸乙酯合成2-(三甲硅基)乙醇,收率约80%;

2.通过三甲基乙酸乙酯合成2-(三甲硅基)乙醇

合成路线仅供参考