基本信息:
中文名称 11-溴十一酸
中文别名 11-溴十一烷酸;1-溴代十一酸;
英文名称 11-Bromoundecanoic acid
英文别名 11-Bromodecanoic acid;11-Bromoundecanoic Acid,Tech;11-bromoundecanecarboxylic acid;11-bromoundecanopic acid;11-bromo-undecanoic acid;11-Bromohendecanoic Acid;Undecanoic acid,11-bromo;
CAS号 2834-05-1
合成路线:
1.通过10-十一烯酸合成11-溴十一酸,收率约69%;

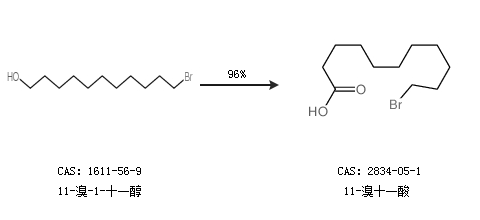
2.通过11-溴-1-十一醇合成11-溴十一酸,收率约96%;

中华试剂网提醒 合成路线仅供参考