基本信息:
中文名称 	Boc-L-蛋氨酸
中文别名 	N-(叔丁氧羰基)-L-蛋氨酸;叔丁氧羰基-L-蛋氨酸;BOC-L-蛋氨基-DCHA;N-叔丁氧羰基-L-甲硫氨酸;
英文名称 	(2S)-2-[(2-methylpropan-2-yl)oxycarbonylamino]-4-methylsulfanylbutanoic acid
英文别名 	N-(tert-Butoxycarbonyl)-L-methionine;N-tert-butoxycarbonyl-L-methionine;BOC-L-Methionine;N-t-butyloxycarbonyl-L-methionine;Boc-L-methionine;N-Boc-L-methionine;Boc-Met-O;Boc-Met-OH;
CAS号 	2488-15-5
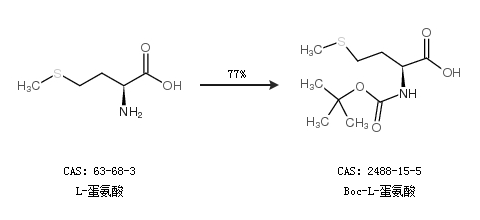
合成路线:
1.通过L-蛋氨酸合成Boc-L-蛋氨酸,收率约95%;

2.通过L-蛋氨酸合成Boc-L-蛋氨酸,收率约77%;

合成路线仅供参考