基本信息:
中文名称 (S)-2,6-二叔丁氧羰基氨基己酸
中文别名 保护的酪氨酸;(S)-2,6-二BOC氨基己酸;
英文名称 (2S)-2,6-bis[(2-methylpropan-2-yl)oxycarbonylamino]hexanoic acid
英文别名 N2,N6-Bis[(1,1-dimethylethoxy)carbonyl]-L-lysine;N,N''-di-Boc-L-lysine;di-BOC-L-lysine;AmbotzBAA1104;Boc-L-Lys(Boc)-OH;BOC-LYS(BOC)-OH;(S)-2,6-Bis-tert-butoxycarbonylaminohexanoic acid;N2,N6-Bis-Boc-L-lysine;(S)-2,6-Bis-tert-butoxycarbonylaMinohexanoic acid;Di[N-(tert-butoxycarbonyl)]-L-lysine;(S)-2,6-Bis((tert-butoxycarbonyl)amino)hexanoic acid;(2S)-2,6-Bis({[(Tert-Butoxy)Carbonyl]Amino})Hexanoic Acid;
CAS号 2483-46-7
合成路线:
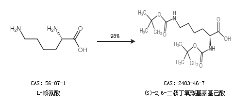
1.通过L-赖氨酸合成(S)-2,6-二叔丁氧羰基氨基己酸,收率约98%;

2.通过L-赖氨酸盐酸盐合成(S)-2,6-二叔丁氧羰基氨基己酸,收率约89%;

中华试剂网提醒:合成路线仅供参考