基本信息:
中文名称 1,3-二(4-氨苯氧基)苯
中文别名 4,4''-(1,3-次苯基二氧)二苯胺;1,3-双(4-氨基苯氧基)苯(TPE-R);1,3-双(4’-氨基苯氧基)苯;1,3-双(4-氨基苯氧基)苯;1,3-双(4-氨苯氧基)苯;间苯二酚双(4-氨基苯基)醚;1,3-双(4''-氨基苯氧基)苯;
英文名称 4-[3-(4-aminophenoxy)phenoxy]aniline
英文别名 resorcinol-bis(4-aminophenyl)ether;Resorcinol Bis(4-aminophenyl) Ether;4,4''-(1,3-phenylenedioxy)bis(aniline);1,3-Bis(4-aMinophenoxy)benzene;1,3-bis(4-aminophenyloxy)benzene;1,3-bis(4''-Aminophenoxyl)benzene;4,4''-(1,3-Phenylenedioxy)dianiline;4,4''-(m-Phenylenedioxy)dianiline;Resorcinol oxydianiline;4,4''-(1,3-phenylenebis(oxy))dianiline;RODA;1,3-Bis(4-aminophenoxy)benzene;ANILINE,p,p''-(m-PHENYLENEDIOXY)DI;
CAS号 2479-46-1
合成路线:
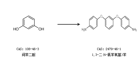
1.通过间苯二酚合成1,3-二(4-氨苯氧基)苯

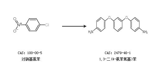
2.通过对硝基氯苯合成1,3-二(4-氨苯氧基)苯

中华试剂网提醒:合成路线仅供参考