基本信息:
中文名称 3,3'',5,5''-四叔丁基-4,4''-联苯醌
中文别名 3,3’,5,5’-四-叔-丁基二酚醌;3,3'',5,5''-四叔丁基二酚醌;3,3'',5,5''-四-叔-丁基二酚醌;
英文名称 2,6-ditert-butyl-4-(3,5-ditert-butyl-4-oxocyclohexa-2,5-dien-1-ylidene)cyclohexa-2,5-dien-1-one
英文别名 3,3'',5,5''-tetra-tert-butyl-1,1''-bi(cyclohexa-2,5-dien-1-ylidene)-4,4''-dione;3,3'',5,5''-Tetra-tert-butyl-4,4''-diphenoquinone;Probucol Related Compound A;3,3'',5,5''-tetra(tert-butyl)-[1,1''-bi-(cyclohexylidene)]-2,2'',5,5''-tetraene-4,4''-dione;3,3′,5,5′-Tetra-tert-butyldiphenoquinone;[Bi-2,5-cyclohexadien-1-ylidene]-4,4''-dione,3,3'',5,5''-tetra-tert-butyl;3,3'',5,5''-Tetra-tert-butyl-[1,1''-bi(cyclohexylidene)]-2,2'',5,5''-tetraene-4,4''-dione;3,3'',5,5''-TETRA-TERT-BUTYLDIPHENOQUINONE;3,3'',5,5''-Tetra-tert-butyldiphenoquinone;
CAS号 2455-14-3
合成路线:
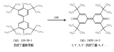
1.通过四叔丁基联苯酚合成3,3'',5,5''-四叔丁基-4,4''-联苯醌,收率约10%;

2.通过2,6-二叔丁基对(二甲氨甲基)苯酚合成3,3'',5,5''-四叔丁基-4,4''-联苯醌,收率约92%;

合成路线仅供参考