基本信息:
中文名称 Nε-Boc-L-赖氨酸
中文别名 N(e)-Boc-L-赖氨酸;N-epsilon-叔丁氧羰基-L-赖氨酸;Nε-(叔丁氧羰基)-L-赖氨酸;N-Boc-L-赖氨酸;
英文名称 Ne-Boc-L-lysine
英文别名 LYSINE(BOC)-OH;L-LYS(BOC);H-Lys(Boc)-OH;LYS(BOC);Ne-Boc-L-Lysine;NEPSILON-BOC-L-LYSINE;N6-Boc-L-lysine;L-LYSINE(BOC);H-L-LYS(BOC)-OH;e-BOC-L-lysine.;(S)-2-Amino-6-((tert-butoxycarbonyl)amino)hexanoic acid;Fmoc-Lys(Boc)-OH;Nε-Boc-L-lysine;Nε-(tert-Butoxycarbonyl)-L-lysine;
CAS号 2418-95-3
合成路线:
1.通过Nε-Boc-Nα-Cbz-L-赖氨酸合成Nε-Boc-L-赖氨酸,收率约97%;

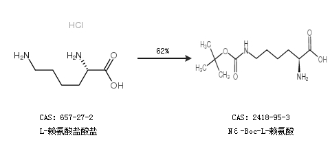
2.通过L-赖氨酸盐酸盐合成Nε-Boc-L-赖氨酸,收率约62%;

合成路线仅供参考