基本信息:
中文名称 2-氯-4-氟苯酚
中文别名 1-溴-2,3,5-三氟苯;邻氯对氟苯酚;2-氯-6-氟苯酚;4-氟-2-氯苯酚;
英文名称 2-Chloro-4-fluorophenol
英文别名 1-Bromo-2,3,5-trifluorobezene;Phenol,2-chloro-4-fluoro;2-chloro-4fluorophenol;2-Chlor-4-fluor-phenol;2-CHLOR-4-FLUOROPHENOL;2-Chloro-4-fluorophe;4-FLUORO-2-CHLOROPHENOL;2-Chloro-6-fluorophenol;2-Choro-4-fluorophenol;
CAS号 1996-41-4
合成路线:
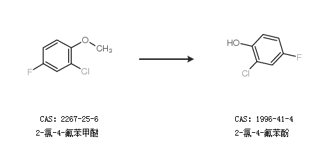
1.通过2-氯-4-氟苯甲醚合成2-氯-4-氟苯酚

2.通过4-氟苯甲醚合成2-氯-4-氟苯酚

中华试剂网提醒:合成路线仅供参考