基本信息:
中文名称 四丁基高氯酸铵
中文别名 四正丁基高氯酸铵;过氯酸四丁基铵;
英文名称 tetrabutylazanium,perchlorate
英文别名 tetrabutylazanium perchlorate;TBA perchlorate;Bu4N(1+)*ClO4(1-);tetra-n-butylammonium perchlorate;[(n-Bu)4N]ClO4;Tetrabutylammonium Perchlorat;n,n,n-tributylbutan-1-aminium perchlorate;TetrabutylaMMoniuM Perchlorate;Tetrabutylammonium perchlorate;
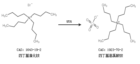
CAS号 1923-70-2
合成路线:
1.通过四丁基溴化铵合成四丁基高氯酸铵,收率约95%;

2.通过四丁基碘化铵合成四丁基高氯酸铵

合成路线仅供参考