基本信息:
中文名称 	4-溴-3-硝基苯乙酮
中文别名 	4''-溴-3''-硝基苯乙酮;3-硝基-4-溴苯乙酮;1-(4-溴-3-硝基苯基)乙酮;
英文名称 	1-(4-bromo-3-nitrophenyl)ethanone
英文别名 	1-(4-Bromo-3-nitrophenyl)ethanone;4-Bromo-3''-nitroacetophenone;1-bromo-2-nitro-4-acetyl-benzene;4''-Bromo-3''-nitroacetophenone;3-nitro-4-bromoacetophenone;4‘-Bromo-3‘-nitroacetophenone;
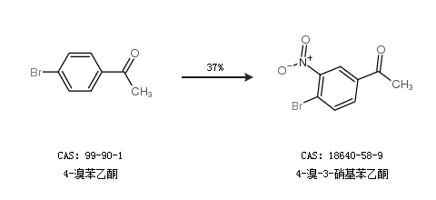
CAS号 	18640-58-9
合成路线:
1.通过4-溴苯乙酮合成4-溴-3-硝基苯乙酮,收率约37%;

2.通过溴代苯合成4-溴-3-硝基苯乙酮

中华试剂网提醒:合成路线仅供参考