基本信息:
中文名称 二苯基磷酸
中文别名 二苯基次膦酸;二苯膦酸;二苯基膦酸;
英文名称 diphenylphosphinic acid
英文别名 EINECS 216-948-5;diphenyl-phosphinic acid;PHOSPHINIC ACID,DIPHENYL;Diphenylphosphinic acid;diphenylphosphosphinic acid;Hydroxydiphenylphosphine oxide;
CAS号 1707-03-5
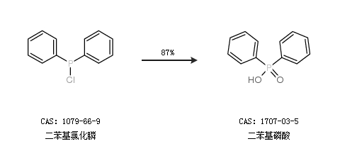
合成路线:
1.通过二苯基磷氧合成二苯基磷酸,收率约98%;

2.通过二苯基氯化膦合成二苯基磷酸,收率约87%;

合成路线仅供参考