基本信息:
中文名称 N,N-二羟乙基甘氨酸
中文别名 N,N- 二-羟乙基甘氨酸;N,N-双(2-羟乙基)甘氨酸;N,N-二-羟乙基甘氨酸;二羟乙甘胺酸;二乙醇甘氨酸;N,N-双(2-羟乙基)甘氨酸(Bicine);N,N-二(2-羟乙基)甘氨酸;N-二(2-羟乙基)甘氨酸;
英文名称 N,N-bis(2-hydroxyethyl)glycine
英文别名 Diethanol glycine;N,N-Di(2-hydroxyethyl)glycine;Bicine;BICINE buffer;Dihydroxyethylglycine;Diethylolglycine;2-[bis(2-hydroxyethyl)amino]acetic acid;Bicene;N,N-Di(2-hydroxyethyl)glycine [Good''s buffer component;N,N-Bis(2-hydroxyethyl)glycine;BICINE[N,N-Di(2-hydroxyethyl)glycine];N,N-Bis(2-hydroxyethyl)glycine,BICINE,PEG Grid Screening;Diethanolglycine;N,N-Bis(2-hydroxyethyl)glycine (Bicine);N,N-Dihydroxyethyl glycine;
CAS号 150-25-4
合成路线:
1.通过溴乙酸甲酯和二乙醇胺合成N,N-二羟乙基甘氨酸

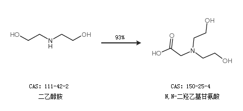
2.通过二乙醇胺合成N,N-二羟乙基甘氨酸,收率约93%;

合成路线仅供参考