基本信息:
中文名称 2-氟-4-硝基甲苯
英文名称 2-Fluoro-4-nitrotoluene
英文别名 4-Fluoro-4-Nitrotoluene;2-fluoro-4-Nitrotoluol;2-fluoro-4-nitrobenzene;2-Fluoro-1-me-4-nitrobenzene;1-methyl-2-fluoro-4-nitrobenzene;3-nitro-6-methyl-fluorobenzene;4-Nitro-2-fluorotoluene;3-fluoro-4-methylnitrobenzene;2-fluoro-4-nitro-toluene;Toluene,2-fluoro-4-nitro;2-fluoro-1-methyl-4-nitrobenzene;2-Fluoro-4-nitrotluene;2-Fluoro-4-nitrotolu;
CAS号 1427-07-2
合成路线:
1.通过2-溴-4-硝基甲苯合成2-氟-4-硝基甲苯,收率约70%;

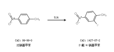
2.通过对硝基甲苯合成2-氟-4-硝基甲苯,收率约51%;

中华试剂网提醒:合成路线仅供参考