基本信息:
中文名称 (E,E)-2,4-己二烯醛
中文别名 反,反-2,4-己二烯醛;2,4-己二烯醛;
英文名称 Hexa-2,4-dienal
英文别名 2,4-Hexadienal;(E,E)-2,4-Hexadienal;Sorbic Aldehyde;Sorbaldehyde,Sorbic aldehyde;
CAS号 142-83-6
合成路线:
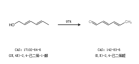
1.通过(2E,4E)-2,4-己二烯-1-醇合成(E,E)-2,4-己二烯醛,收率约97%;

2.通过巴豆醛和三丁基(2-乙氧基乙烯基)锡合成(E,E)-2,4-己二烯醛,收率约80%;

中华试剂网提醒 合成路线仅供参考