基本信息:
中文名称 丁酸氢化可的松
中文别名 氢化可的松17-丁酸酯;17-丁酸皮质醇酯;氢化可的松17丁酸杂质;17-丁酸11β,17,21-三羟基孕-4-烯-3,20-二酮;氢化可的松丁酸酯;氢化可的松丁酸酯;
英文名称 cortisol 17-butyrate
英文别名 11β,17,21-Trihydroxypregn-4-ene-3,20-dione 17-Butyrate;Hydrocortisone 17-butyrate;[(8S,9S,10R,11S,13S,14S,17R)-11-hydroxy-17-(2-hydroxyacetyl)-10,13-dimethyl-3-oxo-2,6,7,8,9,11,12,14,15,16-decahydro-1H-cyclopenta[a]phenanthren-17-yl] butanoate;Hydrocortisone 17-Butyrate;Hydrocortisone butyrate;Cortisol 17-Butyrate;
CAS号 13609-67-1
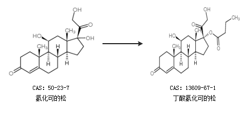
合成路线:
1.通过氢化可的松合成丁酸氢化可的松

2.通过氢化可的松和原丁酸三甲酯合成丁酸氢化可的松

合成路线仅供参考