基本信息:
中文名称 Γ-氯丙基甲基二乙氧基硅烷
中文别名 γ-氯丙基甲基二乙氧基硅烷;(3-氯丙基)二乙氧基(甲基)硅烷;
英文名称 (3-Chloropropyl)diethoxy(methyl)silane
英文别名 3-chloropropyl-diethoxy-methylsilane;(3-chloropropyl)methyl-diethoxysilane;
CAS号 13501-76-3
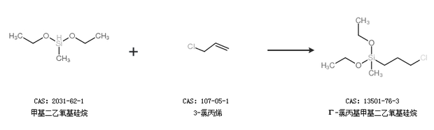
合成路线:
1.通过乙醇合成Γ-氯丙基甲基二乙氧基硅烷,收率约99%;

2.通过甲基二乙氧基硅烷和3-氯丙烯合成Γ-氯丙基甲基二乙氧基硅烷

中华试剂网提醒 合成路线仅供参考