你好,欢迎来到中华试剂网 购试剂 买耗材! [请登录][注册有惊喜]

货号快速下单 | 签到送积分   | 会员中心 | 客服热线:400-021-2765

当前位置:首页
DL-酒石酸,133-37-9,结构式

DL-酒石酸

CasNo:133-37-9 MDL:MFCD00071626 分子式:C4H6O6; HOOC(CHOH)2COOH 分子量:150.09

小程序

化学试剂

所有产品仅用作科学研究和企业生产,我们不为任何个人用途提供产品和服务
收起
  品牌 货号 品名 规格纯度 包装 库存

库存说明:标注库存(0):表示该产品暂无现货,需下单后安排生产;标注上海 (>10):表示该产品库存地点为上海,库存数量大于 10 件;标注库存(3-4 周):表示该产品暂无现货,预计生产及交货周期为 3-4 周。*尽管本平台已与主流生产厂家实现库存数据对接,但库存状态为实时动态变化,平台无法完全保证下单时库存信息与实际库存完全一致。如遇下单后产品无货、库存不足或交期调整,我司将第一时间与您沟通并协商后续处理方案。

牌价含税 成交价 购买量 操作
loading
点击加载更多
加载完成
声明
1、因厂家会在没有任何提前通知的情况下更改产品价格、包装、产地或者一些附件,若出现价格异常请以厂家官网价格为准,本司不能确保客户收到的货物与商城图片、产地、附件说明完全一致,只能确保为原厂正货!并且保证与当时市场上同样主流新品一致。若本商城没有及时更新,请大家谅解!
2、商品信息标注“一般危化品”“危化”的商品,如需购买需提供一般危化品购买资质。
3、库存说明:标注库存(0):表示该产品暂无现货,需下单后安排生产;标注上海 (>10):表示该产品库存地点为上海,库存数量大于 10 件;标注库存(3-4 周):表示该产品暂无现货,预计生产及交货周期为 3-4 周。*尽管本平台已与主流生产厂家实现库存数据对接,但库存状态为实时动态变化,平台无法完全保证下单时库存信息与实际库存完全一致。如遇下单后产品无货、库存不足或交期调整,我司将第一时间与您沟通并协商后续处理方案。
4、仅可用于工业或者科研等非医疗目的。买卖双方确认:依照中国法律法规之规定,本网站销售的所有产品仅用于工业应用或者科学研究等非医疗目的,不可用于人类或动物的临床诊断或治疗,非药用,非食用。我们特此明示提醒:您应严格恪守上述规定,不得超越正常的科研或教学目的而违规使用产品,否则由此造成的一切后果均应由您承担;若我们因此遭受任何损失的,您也应负责对我们做出赔偿。
我要委托采购 133-37-9 产品

用户需要登录成功才能进行委托采购!
品牌试剂可在上方直接购买,如需大包装可发起委托采购。

*收货区域
*发票类型
*需求量1
*需求量2
备注

基本信息物化性质安全数据

CAS:133-37-9
中文名:DL-酒石酸
英文名:DL-Tartaric acid
中文别名:
DL-酒石酸
右旋葡萄酸,二羟基琥珀酸,酒石酸,R*,R*)-(±)-2,3-二羟基丁二酸,DL-酒石酸,DL-2,3-二羟基丁二酸,DL-(-)-酒石酸,外消旋酒石酸,(2R,3R)-2,3-二羟基, 1,4丁二酸
英文别名:
DL-Tartaric acid
DL-Dihydroxysuccinic acid
DL-2,3-Dihydroxybutanedioic acid


技术问答

DL-酒石酸的水溶性怎么样?匿名 2021-12-12 08:24
描述:DL-酒石酸在水中的溶解性怎么样?
DL-酒石酸的水溶性为:soluble
展开
DL-酒石酸的合成路线有哪些?匿名 2021-04-22 10:10
描述:DL-酒石酸有什么方法可以合成?
基本信息:
中文名称 DL-酒石酸
中文别名 DL-二羟基琥珀酸;2,3-二羟基丁二酸;1,4丁二酸;DL-2,3-二羟基丁二酸;右旋葡萄酸;外消旋酒石酸;
英文名称 DL-Tartaric Acid
英文别名 2,3-Dihydroxysuccinic acid;Resolvable tartaric acid;DL-2,3-Dihydroxybutanedioic acid;DL-Tartaric acid concentrate;Racemic Acid;
CAS号 133-37-9

合成路线:
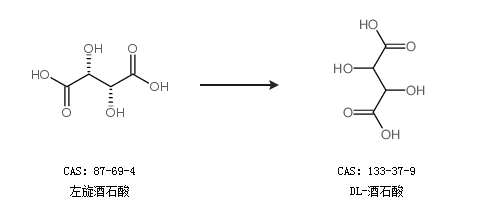
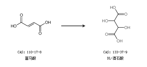
1.通过富马酸合成DL-酒石酸


2.通过左旋酒石酸合成DL-酒石酸


合成路线仅供参考
展开
DL-酒石酸是什么,有什么用途啊?匿名 2021-04-20 17:39
描述:DL-酒石酸的物化性质是什么,有什么用途啊?
基本信息:
中文名称 DL-酒石酸
中文别名 DL-二羟基琥珀酸;2,3-二羟基丁二酸;1,4丁二酸;DL-2,3-二羟基丁二酸;右旋葡萄酸;外消旋酒石酸;
英文名称 DL-Tartaric Acid
英文别名 2,3-Dihydroxysuccinic acid;Resolvable tartaric acid;DL-2,3-Dihydroxybutanedioic acid;DL-Tartaric acid concentrate;Racemic Acid;
CAS号 133-37-9
分子式 C4H6O6
分子量 150.08700

物化性质:
折射率 1.585
外观性状 白色结晶粉末
闪点 210ºC
沸点 399.3ºC at 760 mmHg
熔点 200-206ºC
密度 1.886 g/cm3
蒸汽压 4.93E-08mmHg at 25°C

DL-酒石酸的用途:

本品广泛用于食品、医药、化工、轻工等行业,主要用于制造酒石酸盐类,如酒石酸锑钾、酒石酸钾钠等。在食品行业用作啤酒发泡剂、食品酸味剂、矫味剂等。其酸味为柠檬酸的1.3倍,特别适用作葡萄汁的酸味剂。本品经FAO/WHO专家委员会鉴定为优良之食品添加剂。它在鞣革、照相、玻璃、搪瓷、电讯器材等工业也有非常重要的作用。

展开
DL-酒石酸 熔点是多少匿名 2021-04-14 15:18
描述:DL-酒石酸 熔点是多少
DL-酒石酸的熔点是 210-212 °C(lit.)
展开
DL-酒石酸的储存条件,储存温度匿名 2021-04-02 13:05
描述:DL-酒石酸的储存温度 保存方法
室温储存
展开

原料询价

询单已收到,专属客服稍后会联系您!

您还可以登录后台“查看询单

此商品已成功添加到购物车
此商品已成功添加到购物车!