基本信息:
中文名称 4,4''-二氨基-3,3''-二甲基联苯
中文别名 邻联甲;邻联甲苯胺;联托胺;联邻甲苯胺;3,3''-二甲基联苯胺;邻联甲苯胺/3,3-二甲基联苯胺;4,4’-二氨基-3,3’-二甲基联苯;
英文名称 C.I. 37230
英文别名 3,3''-dimethylbiphenyl-4,4''-diamine;bianisidine;3,3''-Dimethylbenzidine 4,4''-Bianisidine;2-Tolidin;Ellms-Hauser;o-Tolidin;3,3''-dimethyl-4,4''-diamino-biphenyl;O-TOLIDINE;Tolidine;ο-Tolidine;diaminotolyl;o-Tolidine,pract;3,3''-dimethylbenzidine;4,4''-Diamino-3,3''-dimethylbiphenyl;3,3''-dimethyl-4,4''-biphenyldiamine;DMB;2-Tolidine;3,3''-Dimethylbenzidine;3,3''-Tolidine;2-Tolidina;o-Tolidine (3,3''-Dimethylbenzidine);
CAS号 119-93-7
合成路线:
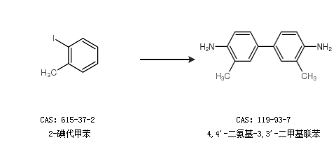
1.通过2-碘代甲苯合成4,4''-二氨基-3,3''-二甲基联苯

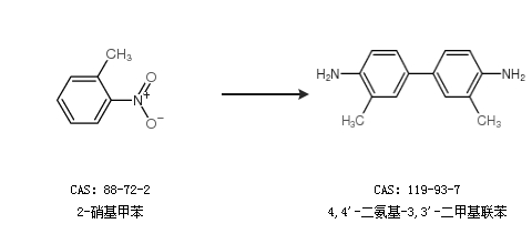
2.通过2-硝基甲苯合成4,4''-二氨基-3,3''-二甲基联苯

中华试剂网提醒 合成路线仅供参考