基本信息:
中文名称 3-氯-4-氟苯腈
中文别名 3-氯-4-氟苯甲腈;3-氯-4-氟苯甲腈;3-氯-4-氟代苯甲腈;2,4-二氟苄醇;
英文名称 3-Chloro-4-fluorobenzonitrile
英文别名 4-fluoro-3-chlorobenzonitrile;3-chloro-4-fluorobenzenecarbonitrile;3-Chloro-4-Fluorobenzonitrile;3-Chlor-4-fluorobenzonitrile;3-chloro-4-fluoro benzonitrile;
CAS号 117482-84-5
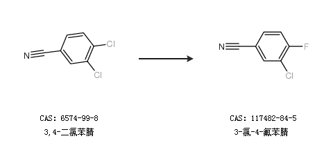
合成路线:
1.通过3,4-二氯苯腈合成3-氯-4-氟苯腈,收率约89%;

2.通过3,4-二氯苯腈合成3-氯-4-氟苯腈

中华试剂网提醒:合成路线仅供参考