基本信息:
中文名称 2-氨基-2-乙基-1,3-丙二醇
中文别名 氨乙基丙二醇;2-氨基-2-乙基-1,3丙二醇(AEPD);2-胺-2-乙-1,3-丙二醇;2-氨基-2-乙基-1,3一丙二醇;
英文名称 2-Amino-2-ethyl-1,3-propanediol
英文别名 2-amino-2-ethylpropane-1,3-diol;2-Amino-2-ethylpropane-1,3-diol;
CAS号 115-70-8
合成路线:
1.通过2-乙基-2-硝基-1,3-丙二醇合成2-氨基-2-乙基-1,3-丙二醇

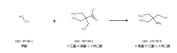
2.通过甲醇和2-乙基-2-硝基-1,3-丙二醇合成2-氨基-2-乙基-1,3-丙二醇

中华试剂网提醒:合成路线仅供参考