基本信息:
中文名称 二正辛胺
中文别名 N,N-二(甲基庚基)胺;二正辛基胺;二辛胺;二辛基胺;双(α-辛基)胺;
英文名称 Dioctylamine
英文别名 DNOA;Dioctylamin;n-octyl-1-octanamin;Di-n-octylamine;RC5632;n-octyl2-NH;DI-N-OCTYLAMINE;N,N-di-n-octylamine;
CAS号 1120-48-5
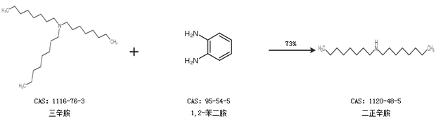
合成路线:
1.通过三辛胺和1,2-苯二胺合成二正辛胺,收率约73%;

2.通过辛胺和正辛醇合成二正辛胺,收率约20%;

合成路线仅供参考