基本信息:
中文名称 	三甘醇单甲醚
中文别名 	甲基三甘醇;三乙二醇甲醚;2-[2-(2-甲氧基乙氧基)乙氧基]-乙醇;三乙二醇单甲醚;
英文名称 	triethylene glycol monomethyl ether
英文别名 	2-(2-(2-Methoxyethoxy)ethoxy)ethanol;Triethylene Glycol MonoMethyl Ether;Methyltriglycol;TRIETHYLENE GLYCOL MONOMETHYL ETHER;Methyl Triglycol;2-[2-(2-methoxyethoxy)ethoxy]ethanol;
CAS号 	112-35-6
合成路线:
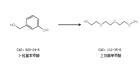
1.通过3-羟基苯甲醇合成三甘醇单甲醚

2.通过硫酸二甲酯和二缩三乙二醇合成三甘醇单甲醚,收率约59%;

中华试剂网提醒:合成路线仅供参考