你好,欢迎来到中华试剂网 购试剂 买耗材! [请登录][注册有惊喜]

货号快速下单 | 签到送积分   | 会员中心 | 客服热线:400-021-2765

当前位置:首页
壬酸,112-05-0,结构式

壬酸

CasNo:112-05-0 MDL:MFCD00004433 分子式:C9H18O2; CH3(CH2)7COOH 分子量:158.24

小程序

化学试剂

所有产品仅用作科学研究和企业生产,我们不为任何个人用途提供产品和服务
收起
  品牌 货号 品名 规格纯度 包装 库存

库存说明:标注库存(0):表示该产品暂无现货,需下单后安排生产;标注上海 (>10):表示该产品库存地点为上海,库存数量大于 10 件;标注库存(3-4 周):表示该产品暂无现货,预计生产及交货周期为 3-4 周。*尽管本平台已与主流生产厂家实现库存数据对接,但库存状态为实时动态变化,平台无法完全保证下单时库存信息与实际库存完全一致。如遇下单后产品无货、库存不足或交期调整,我司将第一时间与您沟通并协商后续处理方案。

牌价含税 成交价 购买量 操作
loading
点击加载更多
加载完成
声明
1、因厂家会在没有任何提前通知的情况下更改产品价格、包装、产地或者一些附件,若出现价格异常请以厂家官网价格为准,本司不能确保客户收到的货物与商城图片、产地、附件说明完全一致,只能确保为原厂正货!并且保证与当时市场上同样主流新品一致。若本商城没有及时更新,请大家谅解!
2、商品信息标注“一般危化品”“危化”的商品,如需购买需提供一般危化品购买资质。
3、库存说明:标注库存(0):表示该产品暂无现货,需下单后安排生产;标注上海 (>10):表示该产品库存地点为上海,库存数量大于 10 件;标注库存(3-4 周):表示该产品暂无现货,预计生产及交货周期为 3-4 周。*尽管本平台已与主流生产厂家实现库存数据对接,但库存状态为实时动态变化,平台无法完全保证下单时库存信息与实际库存完全一致。如遇下单后产品无货、库存不足或交期调整,我司将第一时间与您沟通并协商后续处理方案。
4、仅可用于工业或者科研等非医疗目的。买卖双方确认:依照中国法律法规之规定,本网站销售的所有产品仅用于工业应用或者科学研究等非医疗目的,不可用于人类或动物的临床诊断或治疗,非药用,非食用。我们特此明示提醒:您应严格恪守上述规定,不得超越正常的科研或教学目的而违规使用产品,否则由此造成的一切后果均应由您承担;若我们因此遭受任何损失的,您也应负责对我们做出赔偿。
我要委托采购 112-05-0 产品

用户需要登录成功才能进行委托采购!
品牌试剂可在上方直接购买,如需大包装可发起委托采购。

*收货区域
*发票类型
*需求量1
*需求量2
备注

基本信息物化性质安全数据

CAS:112-05-0
中文名:壬酸
英文名:Nonoic acid
中文别名:
壬酸
风吕草酸,天竺葵酸,洋秀球酸,正壬酸
英文别名:
Nonoic acid
Pelargonic acid
n-Nonanoic acid
Acid C9

技术问答

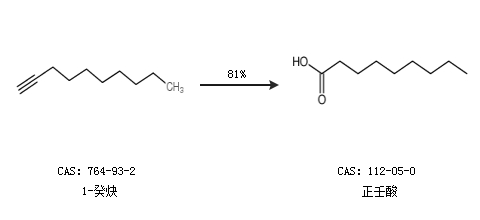
正壬酸的合成路线匿名 2021-04-26 08:21
描述:正壬酸是什么,有什么方法可以合成?
基本信息:
中文名称 正壬酸
中文别名 天竺葵酸;风吕草酸;
英文名称 pelargonic acid
英文别名 NONANOICACID(PELARGONICACID);NONANOIC-D4 ACID;Pelargonic Acid;NO0NOIC ACID;n-Nonanoic acid;NONANOIC ACID FOR SYNTHESIS;NONANOIC ACID (PELARGONIC);Nonanoic acid;NONANOIC ACID/PELARGONIC ACID;nona-N-methyl-4,4'',4''''-methanetriyl-tri-anilinium,tris iodide;Nonoic acid;nonyloic acid;nonanoic acid;Nonanoic acid (Pelargonic acid);Nonanoic Acid;Acid C9,Pelargonic acid;Nona-N-methyl-4,4'',4''''-methantriyl-tri-anilinium,Tris-jodid;noncarboxylic acid;N-NONANOIC ACID;nonanic acid;N-NONYLIC ACID;
CAS号 112-05-0

合成路线:
1.通过油酸合成正壬酸,收率约80%;


2.通过1-癸炔合成正壬酸,收率约81%;


中华试剂网提醒 合成路线仅供参考
展开
正壬酸是什么,有什么用途啊?匿名 2021-04-20 17:39
描述:正壬酸的物化性质是什么,有什么用途啊?
基本信息:
中文名称 正壬酸
中文别名 天竺葵酸;风吕草酸;
英文名称 pelargonic acid
英文别名 NONANOICACID(PELARGONICACID);NONANOIC-D4 ACID;Pelargonic Acid;NO0NOIC ACID;n-Nonanoic acid;NONANOIC ACID FOR SYNTHESIS;NONANOIC ACID (PELARGONIC);Nonanoic acid;NONANOIC ACID/PELARGONIC ACID;nona-N-methyl-4,4'',4''''-methanetriyl-tri-anilinium,tris iodide;Nonoic acid;nonyloic acid;nonanoic acid;Nonanoic acid (Pelargonic acid);Nonanoic Acid;Acid C9,Pelargonic acid;Nona-N-methyl-4,4'',4''''-methantriyl-tri-anilinium,Tris-jodid;noncarboxylic acid;N-NONANOIC ACID;nonanic acid;N-NONYLIC ACID;
CAS号 112-05-0
分子式 C9H18O2
分子量 158.23800

物化性质:
外观性状 透明油性液体,带有一种不愉快的,腐臭的气味
折射率 n20/D 1.432(lit.)
闪点 212 °F
熔点 9 °C(lit.)
密度 0.906 g/mL at 25 °C(lit.)
水溶解性 NEGLIGIBLE
沸点 268-269 °C(lit.)
蒸汽密度 5.5 (vs air)

正壬酸的用途:

有机合成原料,经氧化可制壬二酸,经氨化氢化可制壬胺,加压氢化可制壬醇。壬酸也用于生产壬酸酯类增塑剂,还用作油漆干燥剂。壬酸呈淡的脂肪和椰子香气,我国 GB2760-86规定为允许使用的食用香料,主要用来配制椰子和浆果类香精。用于烘烤食品、肉制品、冰冻乳制品。

展开
壬酸的密度是多少匿名 2021-04-14 16:08
描述:壬酸的密度是多少
壬酸的密度是:0.906 g/mL at 25 °C(lit.)
展开
壬酸沸点匿名 2021-04-14 15:56
描述:壬酸沸点
壬酸沸点: 268-269°C(lit.)
展开
壬酸 熔点是多少匿名 2021-04-14 15:18
描述:壬酸 熔点是多少
壬酸的熔点是 9 °C(lit.)
展开

原料询价

询单已收到,专属客服稍后会联系您!

您还可以登录后台“查看询单

此商品已成功添加到购物车
此商品已成功添加到购物车!