基本信息:
中文名称 (S)-2-氨基己二酸
中文别名 L-α-氨基已二酸;L-a-氨基己二酸;L-2-氨基己二酸;
英文名称 L-2-aminoadipic acid
英文别名 L-2-AMinoadipic Acid;(2S)-2-aminohexanedioic acid;(S)-2-Aminohexanedioic acid;L-a-Aminoadipic acid;(S)-2-Aminohexanedioic Acid;(S)-2-Aminohexanedioic acid,L-Homoglutamic acid,Aad;
CAS号 1118-90-7
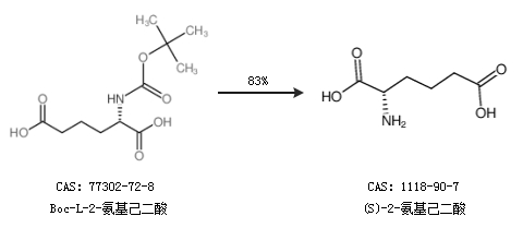
合成路线:
1.通过顺-1,2-环己基二甲醇合成(S)-2-氨基己二酸,收率约84%;

2.通过Boc-L-2-氨基己二酸合成(S)-2-氨基己二酸,收率约83%;

合成路线仅供参考