基本信息:
中文名称 乙二醇乙醚醋酸酯
中文别名 2-乙氧基乙基乙酸酯;1-乙酰氧基-2-乙醚;乙二醇乙醚乙酸酯;2-乙氧基乙酸乙酯;
英文名称 Ethylene glycol monoethyl ether acetate
英文别名 EEA;Ethyl Glycol Acetate;ethoxyacetate;Sensolve EEA;1-Acetoxy-2-ethoxyethane;Cellosolve Acetate;2-Ethoxyethyl Acetate;Acetic Acid 2-Ethoxyethyl Ester;2-Ethoxyethanol Acetate;Ethylene Glycol Monoethyl Ether Acetate;ethylene glycol ethyl ether acetate;oxytolacetate;2-eea;2-Ethoxyethylacetate;EE ACETATE;egeea;2-ethoxyethanol acetate;2-ethoxyethyl acetate;cellosolve acetate;CSAC;2-ethoxyethyl;acetoxy-2-ethoxyethane;1-acetoxy-2-ethoxyethane;
CAS号 111-15-9
合成路线:
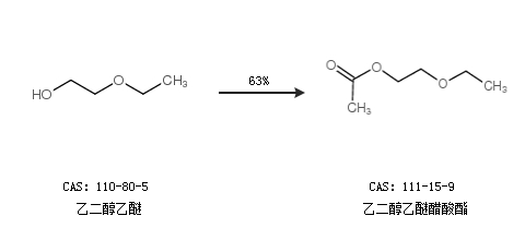
1.通过乙二醇乙醚合成乙二醇乙醚醋酸酯,收率约63%;

2.通过乙二醇乙醚和乙酸乙酯合成乙二醇乙醚醋酸酯,收率约77%;

合成路线仅供参考