基本信息:
中文名称 二苯并噻吩-4-硼酸
中文别名 二苯并[B,D]噻吩-4-基硼酸;4-二苯并噻吩硼酸;
英文名称 4-Dibenzothienylboronic acid
英文别名 dibenzothiophen-4-ylboronic acid;4-Dibenzothiopheneboronic acid;Dibenzothiophene-4-boronic acid;
CAS号 108847-20-7
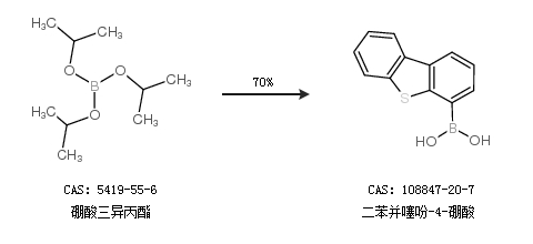
合成路线:
1.通过硼酸三异丙酯合成二苯并噻吩-4-硼酸,收率约70%;

2.通过三甲氧基硼烷合成二苯并噻吩-4-硼酸,收率约79%;

合成路线仅供参考