基本信息:
中文名称 2,6-二甲基-5-庚烯醛
中文别名 西瓜醛;2,6-二甲基-5-庚烯-1-醛;甜瓜醛;
英文名称 2,6-Dimethyl-5-heptenal
英文别名 2,6-DiMethyl-5-heptenal;MELONAL,NATURAL;2,5-DIMETHOXYBENZYL CHLORIDE;2,6-dimethylhept;2,6-dimethyl-5-heptena;Dimethylheptenal;Melon aldehyde,Melonal;2,6-dimethyl-5-hepten-1-al;MELONAL;2,6-Dimethylhept-5-enal;ELANAL;FEMA 2389;2,6-Dimethylhept-5-en-1-al;
CAS号 106-72-9
合成路线:
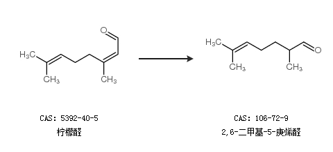
1.通过柠檬醛合成2,6-二甲基-5-庚烯醛

2.通过N,N-二甲基甲酰胺合成2,6-二甲基-5-庚烯醛,收率约68%;

中华试剂网提醒:合成路线仅供参考