基本信息:
中文名称 	1,3-二甲基-1H-吡唑-4-硼酸频哪醇酯
中文别名 	1,3-二甲基-1H-吡唑-4-硼酸频那醇酯;
英文名称 	1,3-Dimethyl-4-(4,4,5,5-tetramethyl-1,3,2-dioxaborolan-2-yl)-1H-pyrazole
英文别名 	1,3-dimethyl-4-(4,4,5,5-tetramethyl-1,3,2-dioxaborolan-2-yl)pyrazole;
CAS号 	1046832-21-6
合成路线:
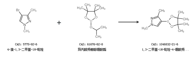
1.通过4-溴-1,3-二甲基-1H-吡唑和异丙醇频哪醇硼酸酯合成1,3-二甲基-1H-吡唑-4-硼酸频哪醇酯

2.通过4-溴-1,3-二甲基-1H-吡唑和联硼酸频那醇酯合成1,3-二甲基-1H-吡唑-4-硼酸频哪醇酯

合成路线仅供参考