基本信息:
中文名称 4,4''-二氨基八氟联苯
中文别名 4,4’-二氨基八氟联苯;
英文名称 4-(4-amino-2,3,5,6-tetrafluorophenyl)-2,3,5,6-tetrafluoroaniline
英文别名 4,4''-DiaMinooctafluorobiphenyl;4,4''-diamino-2,2'',3,3'',5,5'',6,6''-octafluorobiphenyl;4,4''-Diaminoctafluorobiphenyl;4,4''-Diaminooctafluorodiphenyl;Octafluorobenzidine;2,2'',3,3'',5,5'',6,6''-octafluoro-biphenyl-4,4''-diamine;octafluoro-4,4''-biphenylenediamine;Benzidine,2,2'',3,3'',5,5'',6,6''-octafluoro;2,2'',3,3'',5,5'',6,6''-Octafluorobenzidine;4,4''-diaminooctafluoro biphenyl;
CAS号 1038-66-0
合成路线:
1.通过全氟联苯合成4,4''-二氨基八氟联苯,收率约82%;

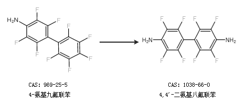
2.通过4-氨基九氟联苯合成4,4''-二氨基八氟联苯

合成路线仅供参考