基本信息:
中文名称 1-Boc-3-羟基吡咯烷
中文别名 (R)-1-BOC-3-羟基吡咯烷;
英文名称 1-Boc-3-Hydroxypyrrolidine
英文别名 tert-Butyl 3-hydroxypyrrolidine-1-carboxylate;1-Boc-3-pyrrolidinol;1-(tert-Butoxycarbonyl)-3-hydroxypyrrolidine;tert-butyl 3-hydroxypyrrolidine-1-carboxylate;1-(tert-Butoxycarbonyl)-3-pyrrolidinol;1-Boc-3-hydroxypyrrolidine;N-Boc-3-pyrrolidinol;
CAS号 103057-44-9
合成路线:
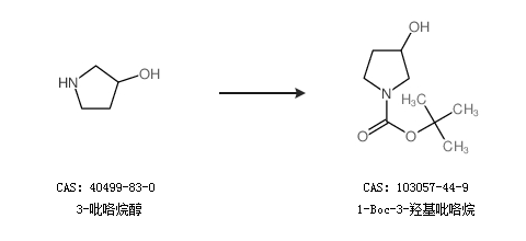
1.通过3-吡咯烷醇合成1-Boc-3-羟基吡咯烷

2.通过(R)-3-羟基吡咯烷盐酸盐合成1-Boc-3-羟基吡咯烷

中华试剂网提醒:合成路线仅供参考