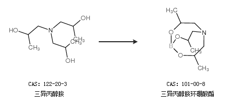
基本信息:
中文名称 三异丙醇胺环硼酸酯
中文别名 三异丙醇胺环硼酸盐;
英文名称 Triisopropanolamine cyclic borate
英文别名 3,7,10-Trimethyl-2,8,9-trioxa-5-aza-1-borabicyclo[3.3.3]undecane;3,7,10-trimethyl-4,6,11-trioxa-1-aza-5-borabicyclo[3.3.3]undecane;
CAS号 101-00-8
合成路线:
1.通过三异丙醇胺合成三异丙醇胺环硼酸酯

2.通过三异丙醇胺和硼酸合成三异丙醇胺环硼酸酯

合成路线仅供参考