基本信息:
中文名称 1,4-二乙酰苯
中文别名 1,4-二乙酰基苯;对二乙酰基苯;
英文名称 1,4-Diacetylbenzene
英文别名 1-(4-acetylphenyl)ethanone;4-Acetylacetophenone;4''-Acetylacetophenone;1,4-DIACETYLBENZENE;1,1''-(1,4-Phenylene)diethanone;
CAS号 1009-61-6
合成路线:
1.通过1,4-二乙炔基苯合成1,4-二乙酰苯,收率约18%;

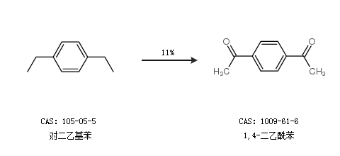
2.通过对二乙基苯合成1,4-二乙酰苯,收率约11%;

合成路线仅供参考